A frequently asked question is “how much sample is required for a surface area analysis?” The simple answer is that it depends: it depends on the type of instrument being used for the measurement, and its accepted measurement tolerance; it depends on the type of sample tube being used for the measurement, which affects the accepted measurement tolerance; it depends on the specific surface are of the sample, since this is the surface area per gram of sample; and it depends on the accuracy tolerance that is acceptable for the measurement, since the total surface under test will be compared to the accepted tolerance of the measurement.
Generally Micromeritics physisorption analyzers can be grouped into 5 categories. These are ASAP single-port standard-pressure analyzers, with current models ASAP 2020 Plus and ASAP 2060; ASAP multiple-port analyzers and higher-pressure analyzers, with current models ASAP 2420 and ASAP 2460, and ASAP 2050; 3Flex 3500 analyzers; TriStar analyzers, with current models TriStar II 3020 and TriStar II Plus 3030; and Gemini, with current models Gemini VII 2390a, Gemini VI 2390p, and Gemini VII 2390t. Each of these groups of instruments has specified performance for blank tube analyses, when performed using specific sample tubes and analysis conditions. These performance specifications provide the maximum magnitude of the volume of gas adsorbed as a function of relative pressure for analysis of a sample tube containing no sample. For some, filler rods and isothermal jackets are required; and for some they are not. Some provide specifications for nitrogen analysis at 77K and argon at 87K, and some are for krypton analysis at 77K. For some cases, free space is measured; and for some free space is calculated from sample mass and density, and the measured free space of the empty sample tube.
A description of these specifications follows. Again, these are maximum acceptable deviations from zero volume adsorbed. Realize that most instruments operate at a level much greater than these specifications. In order to determine the performance of a particular instrument, perform a blank tube analysis on that instrument. Generally the analysis conditions for a blank tube analysis are loaded when the instrument application software is installed onto the computer controlling the instrument.
For the single-port standard-pressure analyzers, the ASAP 2020 Plus and the ASAP 2060, the following blank tube analysis results are specified for each relative pressure, P/Po, in the isotherm:
For empty ½” OD sample tubes, analyzed with either nitrogen at 77K or argon at 87K, with a filler rod installed, with an isothermal jacket installed, with the Dewar flask cover installed, with the Dewar flask shield installed, and with the free space measured during the analysis, the volume of gas adsorbed, in cm3 (STP), for each analysis point on the isotherm should differ from zero by no more than Vε, given by (1)

For empty 3/8” OD sample tubes, analyzed with either nitrogen at 77K or argon at 87K, with a filler rod installed, with an isothermal jacket installed, with the Dewar flask cover installed, with the Dewar flask shield installed, and with the free space measured during the analysis, the volume of gas adsorbed, in cm3 (STP), for each analysis point on the isotherm should differ from zero by no more than Vε, given by (2).

For empty ½” OD sample tubes, analyzed with krypton at 77K, without a filler rod installed, without an isothermal jacket installed, but with the Dewar flask cover installed, with the Dewar flask shield installed, and with the free space measured during the analysis, the volume of gas adsorbed, in cm3 (STP), for each analysis point on the isotherm should differ from zero by no more than Vε, given by (3).

The single point surface area SA1 of a sample under test is easily calculated from one individual point on the isotherm within the typical BET surface area range of 0.05 to 0.30 relative pressure, P/Po, using (4)

Where:
- Va is the volume adsorbed at the specified relative pressure point P/Po, in cm3 (STP);
- Vo is the molar gas volume, numerically 22414 cm3 (STP)/mole;
- NA is Avogadro’s number, numerically 6.022 * 1023 molecules/mole;
- σa is the adsorbate cross sectional area, or area of sample covered by each gas molecule, in m2
For an analysis with nitrogen as the adsorptive at 77K, σa has a generally accepted value of 1.62 * 10-19 m2. The nitrogen single point surface area, SA1, calculated at a relative pressure, P/Po, of 0.30, is then (5)

Since equations (1) and (2) given the maximum uncertainty in the volume of gas adsorbed for nitrogen analyses at 77K, then substituting this volume adsorbed uncertainty at a relative pressure of 0.30 into equation 5 will give the uncertainty in the single point surface area at that relative pressure. If a sample is to be analyzed in a sample tube with a ½” OD, the corresponding maximum potential uncertainty in volume adsorbed for a properly operating ASAP 2020 Plus, for example, is (6)

And the maximum uncertainty in single point surface area, SA1ε, in m2, due to blank errors, is (7)

Note that this is an absolute uncertainty in the measured surface area, and not in the specific surface area of the sample. The analyzer determines the total surface area under test in the sample tube in m2, and then divides the result by the entered sample mass to provide specific surface area in m2/g.
Now to answer the original question, “how much sample is required for a surface area analysis?” for the case of analysis in a ½” OD sample tube using nitrogen at 77K. The maximum uncertainty in the single point surface area at a relative pressure of 0.30 is 0.381 m2 given in equation (7). In order to determine the amount of sample to use, first determine the accepted maximum percentage surface area uncertainty desired. For the case where the surface area is desired to be determined with an uncertainty of no more than 5%, then the minimum surface area in the sample tube needs to be twenty times this surface area uncertainty, or 7.62 m2. This is the total surface of the sample being analyzed, not the specific surface area of the sample. If the specific surface area is expected to be approximately 10 m2/g, then the amount of sample to analyze needs to be 0.762 g or more to ensure that the uncertainty in the surface area measured is less than 2% due to blank error in the measurement. This is for analysis in a ½” OD sample tube with filler rod used, with isothermal jacket used, with Dewar flask cover and shield used, and with free space measured, using nitrogen as the adsorptive, and 77K as the analysis temperature. These calculations were based upon the single point surface area calculation, but expected uncertainties in the BET multipoint calculation will be essentially the same since the single point and multipoint surface areas are of similar magnitude for a given material and given analysis.
Similar equations for maximum expected uncertainty in volume adsorbed are given for the ASAP multipleport analyzers, ASAP 2420 and ASAP 2460, and ASAP higher-pressure analyzers, ASAP 2050, for different sample tube sizes, and free space determinations, for analyses with nitrogen at 77K and argon at 87K. These are, for each relative pressure, P/Po, in the isotherm:
For empty ½” OD sample tubes, analyzed with either nitrogen at 77K or argon at 87K, with a filler rod installed, with an isothermal jacket installed, with the Dewar flask cover installed, with the Dewar flask shield installed, and with the free space measured during the analysis, the volume of gas adsorbed, in cm3 (STP), for each analysis point on the isotherm should differ from zero by no more than Vε, given by (8)

For empty ½” OD sample tubes, analyzed with either nitrogen at 77K or argon at 87K, with a filler rod installed, with an isothermal jacket installed, with the Dewar flask cover installed, with the Dewar flask shield installed, and with the free space calculated from the sample mass and density, and the previously measured free space of the empty sample tube, the volume of gas adsorbed, in cm3 (STP), for each analysis point on the isotherm should differ from zero by no more than Vε, given by (9)

For empty 3/8” OD sample tubes, analyzed with either nitrogen at 77K or argon at 87K, with a filler rod installed, with an isothermal jacket installed, with the Dewar flask cover installed, with the Dewar flask shield installed, and with the free space measured during the analysis, the volume of gas adsorbed, in cm3 (STP), for each analysis point on the isotherm should differ from zero by no more than Vε, given by (10)

For empty 3/8” OD sample tubes, analyzed with either nitrogen at 77K or argon at 87K, with a filler rod installed, with an isothermal jacket installed, with the Dewar flask cover installed, with the Dewar flask shield installed, and with the free space calculated from the sample mass and density, and the previously measured free space of the empty sample tube, the volume of gas adsorbed, in cm3 (STP), for each analysis point on the isotherm should differ from zero by no more than Vε, given by (11)

For empty ¼” OD sample tubes, analyzed with either nitrogen at 77K or argon at 87K, with a filler rod installed, with an isothermal jacket installed, with the Dewar flask cover installed, with the Dewar flask shield installed, and with the free space measured during the analysis, the volume of gas adsorbed, in cm3 (STP), for each analysis point on the isotherm should differ from zero by no more than Vε, given by (12)

For empty ¼” OD sample tubes, analyzed with either nitrogen at 77K or argon at 87K, with a filler rod installed, with an isothermal jacket installed, with the Dewar flask cover installed, with the Dewar flask shield installed, and with the free space calculated from the sample mass and density, and the previously measured free space of the empty sample tube, the volume of gas adsorbed, in cm3 (STP), for each analysis point on the isotherm should differ from zero by no more than Vε, given by (13)

The maximum expected uncertainty for krypton analyses for these analyzers is the same as for the ASAP single port standard-pressure analyzers given in equation (3).

For the 3Flex 3500 analyzers, the following blank tube analysis results are specified for each relative pressure, P/Po, in the isotherm:
For empty 12 mm OD sample tubes, analyzed with either nitrogen at 77K or argon at 87K, with a filler rod installed, with an isothermal jacket installed, with the Dewar flask cover installed, with the Dewar flask shield installed, and with the free space measured during the analysis, the volume of gas adsorbed, in cm3 (STP), for each analysis point on the isotherm should differ from zero by no more than Vε, given by (14)

For empty 9 mm OD sample tubes, analyzed with either nitrogen at 77K or argon at 87K, with a filler rod installed, with an isothermal jacket installed, with the Dewar flask cover installed, with the Dewar flask shield installed, and with the free space measured during the analysis, the volume of gas adsorbed, in cm3 (STP), for each analysis point on the isotherm should differ from zero by no more than Vε, given by (15)

For empty 12 mm OD sample tubes, analyzed with either nitrogen at 77K or argon at 87K, with a filler rod installed, with an isothermal jacket installed, with the Dewar flask cover installed, with the Dewar flask shield installed, and with the free space calculated from the sample mass and density, and the previously measured free space of the empty sample tube, the volume of gas adsorbed, in cm3 (STP), for each analysis point on the isotherm should differ from zero by no more than Vε, given by (16)

For empty 9 mm OD sample tubes, analyzed with either nitrogen at 77K or argon at 87K, with a filler rod installed, with an isothermal jacket installed, with the Dewar flask cover installed, with the Dewar flask shield installed, and with the free space calculated from the sample mass and density, and the previously measured free space of the empty sample tube, the volume of gas adsorbed, in cm3 (STP), for each analysis point on the isotherm should differ from zero by no more than Vε, given by (17)

Note that for the 3Flex 3500 analyzers, the same specification is given for analyses with measured and with calculated free space values. Once again, the maximum expected uncertainty for krypton analyses for these analyzers is the same as for the ASAP analyzers given in equation (3).

For analyses with TriStar analyzers, the TriStar II 3020 and TriStar II Plus 3030, Nitrogen at 77K is used far more frequently than is Argon at 87K, and so the specifications for maximum expected volume adsorbed uncertainty for these analyzers are given for nitrogen at 77K by:
For empty ½” OD sample tubes, analyzed with nitrogen at 77K, with a filler rod installed, with an isothermal jacket installed, with the Dewar flask cover installed, with the analysis compartment door closed, and with the free space measured during the analysis, the volume of gas adsorbed, in cm3 (STP), for each analysis point on the isotherm should differ from zero by no more than Vε, given by (18)

For empty ½” OD sample tubes, analyzed with nitrogen at 77K, with a filler rod installed, with an isothermal jacket installed, with the Dewar flask cover installed, with the analysis compartment door closed, and with the free space calculated from the sample mass and density, and the previously measured free space of the empty sample tube, the volume of gas adsorbed, in cm3 (STP), for each analysis point on the isotherm should differ from zero by no more than Vε, given by (19)

For empty 3/8” OD sample tubes, analyzed with nitrogen at 77K, with a filler rod installed, with an isothermal jacket installed, with the Dewar flask cover installed, with the analysis compartment door closed, and with the free space measured during the analysis, the volume of gas adsorbed, in cm3 (STP), for each analysis point on the isotherm should differ from zero by no more than Vε, given by (20)

For empty 3/8” OD sample tubes, analyzed with nitrogen at 77K, with a filler rod installed, with an isothermal jacket installed, with the Dewar flask cover installed, with the analysis compartment door closed, and with the free space calculated from the sample mass and density, and the previously measured free space of the empty sample tube, the volume of gas adsorbed, in cm3 (STP), for each analysis point on the isotherm should differ from zero by no more than Vε, given by (21)

For empty ¼” OD sample tubes, analyzed with nitrogen at 77K, with a filler rod installed, with an isothermal jacket installed, with the Dewar flask cover installed, with the analysis compartment door closed, and with the free space measured during the analysis, the volume of gas adsorbed, in cm3 (STP), for each analysis point on the isotherm should differ from zero by no more than Vε, given by (22)

For empty ¼” OD sample tubes, analyzed with nitrogen at 77K, with a filler rod installed, with an isothermal jacket installed, with the Dewar flask cover installed, with the analysis compartment door closed, and with the free space calculated from the sample mass and density, and the previously measured free space of the empty sample tube, the volume of gas adsorbed, in cm3 (STP), for each analysis point on the isotherm should differ from zero by no more than Vε, given by (23)

The maximum expected uncertainty for krypton analyses for the TriStar analyzers is the same as for the ASAP single port research analyzers given in equation (3).

Lastly, the specification for maximum expected volume adsorbed uncertainty for Gemini analyzers, the Gemini VII 2390a, the Gemini VII 2390p, and the Gemini VII 2390t, is given by:
For empty 3/8” OD sample tubes, analyzed with either nitrogen at 77K, with the Dewar flask cover installed, with the analysis compartment door closed, with the differential free space measured during the analysis, and with this free space balanced with an appropriate amount of glass beads, the volume of gas adsorbed, in cm3 (STP), for each analysis point on the isotherm should differ from zero by no more than Vε, given by (24)

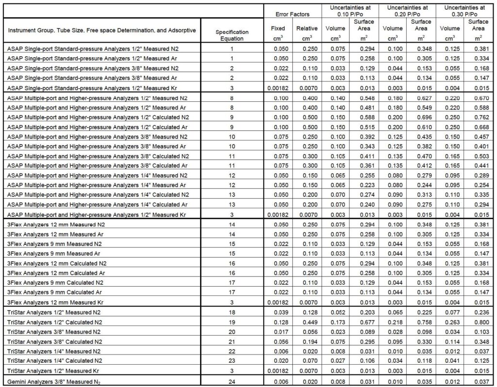
Since most analyses performed with Gemini analyzers are carried out using nitrogen at 77K, there are no specifications for krypton empty sample tube analyses with the Gemini analyzers. Using equations (4) through (7), and the appropriate empty sample tube specification equations (1) through (3) and (8) through (24), the maximum expected uncertainty in measured volume adsorbed, in cm3 (STP), and in determined surface area, in m2, is summarized for each of the instrument analyzer groups in Table 1. The first coefficient in the above equations is referred to as the Fixed Error Factor, and the second coefficient is the Relative Error Factor. For example, for an analysis performed using the 3Flex in a 9 mm sample tube, with measured free space, and nitrogen as the adsorptive, the maximum expected volume of gas adsorbed at a relative pressure of 0.30 is 0.055 cm3 (STP). The corresponding maximum uncertainty in determined singlepoint surface area for these same conditions is 0.168 m2.
From these data, the minimum surface that will be needed in the sample tube in order to ensure specific maximum relative uncertainty in the single-point surface area determined at a relative pressure of 0.30 is given in Table 2. Remember that it is the total surface area under test that matters, not the specific surface area of the sample. The mass of sample needed will be that amount that yields these total surface areas under test. For this most-recent example, with a maximum surface area uncertainty of 0.168 m2, if it is desired to obtain a surface area with no more than 2% uncertainty in the results due to blank error in the analysis, then sufficient sample to give 8.38 m2 of total surface area in the tube will be needed.
Another way to look at things is given in Table 3. Here the percent uncertainty in the determined surface area for different amounts of total surface area under test is given. For the 3Flex analysis example above, if 10 m2 of total surface is under analysis, then the maximum percent uncertainty in the single-point surface area due to blank error in the amount adsorbed is 1.7%.
Recall that even though these examples use the singlepoint surface area, similar results will be obtained for the multipoint BET surface area, since these two values are similar in magnitude. The simplicity of the single-point equation makes these surface area uncertainties easier to calculate from the volume adsorbed uncertainty, and that is why this is being use. So, to answer the opening question of “how much sample is required for a surface area analysis?” use one of these tables to determine the total amount of surface area that needs to be tested, and using the approximate specific surface area of the sample to be analyzed, the mass of sample can be determined. Similarly, the reliability of a completed test can be determined by comparing the total amount of surface are tested to the values in one of these tables. If the specific surface area of the sample is unknown, then measure it once, determine the potential uncertainty in the test, and then, if necessary, retest with more sample
Also recall that most instruments perform at a level better than what is given here. To determine the performance of a particular instrument, perform an empty sample tube analysis according to the parameters found in example files loaded at the time the software was installed on the computer controlling the instrument. Use the amount of gas adsorbed at desired relative pressure values, along with equations (6) and (7), to determine the surface area uncertainty for that instrument.


uncertainty in single-point surface area determined at a relative pressure of 0.30.
