该应用笔记详细介绍了分析纯活性炭材料的CO2 等量吸附热的测定方法。实验采用Micromeritics 3Flex 气体吸附仪对活性炭样品进行 CO2 吸附等温线测试,测试过程中使用iso-controller 低温配件控制样品温度。测试结束后通过 MicroActive 软件计算所有表面覆盖范围(从零到饱和)的等量吸附热。
随着目前对气候变化和环境保护关注度的日益增加,CO2 捕集与封存受到了媒体、科研和公共政策等各方面的极大关注。碳材料经过活化后,可形成具有高比表面积,大的孔体积和包含微孔(孔径 <2nm)的多孔材料,从而能够捕集和封存更多的 CO2,有效减少温室气体的排放。加之碳材料来源丰富,是一种相对廉价的材料开发和制造方法。
碳是一种非常多元化的材料,其平均孔径、孔径分布、孔体积和孔面积在很大程度上取决于碳材料的来源和活化方法。碳材料来源广泛,包括木材、植物基材料、贝壳、石油产品和农业副产品等以及一些经常性地被报告的新碳材料。如此广泛的材料来源和各种各样的活化方法和条件,使得活性炭多孔特性具有多样性。当然,并不是所有的碳材料都适合或者能够有效的应用于某个特定用途。因此对于特定用途的碳材料必须要为其选择适合的表征方法。. Not all carbons will be suitable or This application note details the method for obtaining the isosteric heat of adsorption of CO2 on a range of adsorbent grade activated carbons. CO2 adsorption isotherms below saturation vapor pressure were collected using a Micromeritics® 3Flex Surface Analyzer equipped with an iso-controller unit for temperature control. Isosteric heat of adsorption is calculated across the fullest range of surface coverage possible (zero to saturation) using the Micromeritics MicroActive software. With current growing concerns over climate change and the importance of environmental protection, the capture, retention, and sequestration of CO2 is receiving huge interest in literature, research, and public policy. The activation of carbon to form porous materials of high surface area and pore volume, including micro-pore content (pores < 2 nm width) provides materials capable of being used for the containment of high volumes of CO2 per unit mass, thus reducing release into the atmosphere. Furthermore, source materials for carbonization and activation are abundant and represent a relatively inexpensive approach to material development and manufacture. Carbons represent an incredibly diverse family of materials. Average pore size, size distribution, volume and area are heavily dependent on the source of the carbonaceous material and the precise method of activation. The number of potential sources of carbonaceous material is huge and includes including: wood and plant-based materials, shell, petroleum products and agricultural by-products, with new potential sources being frequently reported. This wide range of source materials, combined with numerous approaches and conditions of activation, give rise to the incredible diversity of porous characteristics of activated carbons. Not all carbons will be suitable or effective for a particular use and it is therefore essential that the desired characteristics are determined for a given application.
Gas adsorption isotherms are widely used when characterizing porous materials. The Micromeritics 3Flex Surface Analyzer and Micromeritics ASAP® Surface Area and Porosimetry Analyzer are ideal for determining pore size, volume and area in sizes extending from micro-pores, through meso-pores and into the macro-pore range together with the measurement of surface area. Indeed, BET surface area, total pore volume and average pore size are routinely reported in literature and product specifications.
Full characterization of the porous nature of candidate materials for CO2 capture and sequestration is essential to their development and selection. Additionally, it is also essential that the affinity of the materials specifically for CO2 adsorption is also understood as this ultimately dictates the ability to capture and, as importantly, retain CO2. Notably, this can be determined through measurement of the heat (enthalpy) of CO2 adsorption. The calculation of the isosteric heat of adsorption is typically made through application of the Clausius-Clapeyron equation to gas adsorption isotherms collected at different temperatures. A basic calculation can be made from just two isotherms collected at different temperatures, from which a single common adsorption quantity can be selected. This method will provide a single value for the heat of adsorption, usually at very low surface coverage.
Greater accuracy and considerably more information can be obtained through the collection of isotherms at more than two different temperatures and by applying a range of adsorption quantities which is common to all of the collected isotherms. Such isotherm analyses are possible using Micromeritics gas adsorption instruments and the isosteric heat of adsorption can be calculated and presented using the MicroActive software. Essentially, heat of adsorption is determined isosterically from plots of In(P) against 1/T at constant coverage (adsorption quantity). The slope of each isostere may then be used to calculate the heat of adsorption at that particular adsorption quantity. For illustration, Figure 1 shows a simplified isostere plot generated from isotherms collected at three different temperatures (shown by the three sets of vertical red circles) and generated at ten adsorption volumes (quantities). This arrangement would, therefore, provide ten heat of adsorption values, one for each adsorption quantity.

The heat of adsorption at each adsorption quantity is then calculated using the Clausius-Clapeyron equation rearranged in the form:

Where: -ΔHads is the heat of adsorption, R is the gas constant (8.314 J mol-1 K-1), InP is the natural logarithm of pressure, T is the analysis temperature (K) and θ is the extent to which the sample surface us covered with adsorbate.
Four commercially available grades of granular activated carbon, specifically marketed for use as adsorbent materials, were first analyzed to characterize their porous nature. This was undertaken by N2 adsorption at 77K using a Micromeritics 3Flex gas porosimeter. Isotherms were collected in the micropore region using the fixed volume dosing method with a 45 second equilibration interval. The remainder of the isotherms, nominally measured up to 0.99 P/ Po, were collected using pre-set pressure increments at 10 second equilibration intervals. All samples were thoroughly vacuum degassed immediately prior to analysis, first using a Micromeritics VacPrep at 350°C for 8 hours followed by a further 18 hours at 350°C on the 3Flex surface analyzer. Estimated freespace values were applied before analysis and the final freespace measurements were undertaken after analysis. Importantly, a constant freespace was maintained during the analysis using Micromeritics isothermal jacket technology. Linear and logarithmic isotherm plots of the four carbons are shown in Figures 2 and 3 respectively with key pore area and volume data being detailed in Table 1.
Although this application note concerns the determination of isosteric heat of adsorption, it is first necessary to briefly consider the porous nature of the samples. Visual inspection of the isotherms combined with the tabulated key data shows carbons A and B to be very similar. Both isotherms exhibit type 1b character, with a minor adsorption feature close to saturation. This indicates that carbons A and B are almost entirely micro-porous, which is also shown by the key tabulated values: The high BET surface areas are shown by the t-plot data to be due to high contributions from micro-pore content with little contribution from larger pores or the external surface. Carbons A and B are of reasonably high total pore volume, as calculated from the single adsorption volume at 0.99 P/Po (equating to all pores < 200 nm diameter). Furthermore, comparison of the HorvathKawazoe (H-K) and BJH pore volume data shows the majority of pore volume to be located within micro-pores as opposed to meso- and macro-pores. Carbons C and D are rather different. BET surface areas are appreciably high and the samples contain significant micro-porosity but the contributions of micro-pores to the total area, as shown by the t-plot data, are much lower than for carbons A and B. Total pore volumes are reasonably similar for all four carbons. However, a much higher pore volume exists within meso- and macro-pores for samples C and D than for samples A and B. In this respect, the application of the single adsorption point total pore volume at 0.99 P/Po, H-K (micro-pore) and BJH (meso- and macro-pore) data is appropriate and in excellent overall agreement with each other.

Figure 2. Linear N2 Isotherm plots of
4 adsorbet carbons
Figure 3. Log N2 Isotherm plots of
4 adsorbent carbons

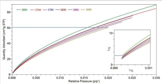
CO2 adsorption was undertaken using the Micromeritics 3Flex and employing a Micromeritics Iso-controller (thermoelectrically cooled Dewar) with 50 vol% ethylene glycol: water dewar mixture to maintain analysis temperature. Temperatures were thereby maintained to within 0.1 K of each target temperature throughout. For each sample, six adsorption isotherms were collected at temperatures in the range 268 – 293 K at 5 K intervals. Dosing was undertaken by the fixed volume method so that approximately 60 data points were collected, equilibration intervals were 20 seconds throughout and freespace was measured after analysis. Sample tubes remained on the instrument until all six isotherms had been collected and vacuum degassing at 350°C was undertaken for 2 hours between each isotherm analysis. Due to the high saturation vapour pressure of CO2 at these temperatures the maximum achievable relative pressure (P/Po) is quite low and decreases inversely with analysis temperature. The maximum relative pressure applied at each analysis temperature was selected so that the range of data collected was maximized. It was ensured that isotherm data to at least atmospheric pressure was collected and that the absolute manifold pressure did not exceed 850 mmHg. For reference, details are given in Table 2. It should be noted that when selecting data during heat of adsorption calculation it is necessary to only include the relative pressures that are common between all analysis temperatures. Consequently, data collected at higher relative pressures are not useful in this respect. They are, however, relevant when assessing the adsorption capacity, which in this instance is better undertaken at a pressure close to saturation.
For illustration, the isotherms collected at the six temperatures for carbon A are shown in Figure 4, together with the selection of lower and upper adsorption quantities for application to the heat of adsorption calculation. Heat of adsorption reports are generated using the dedicated report option in MicroActive software. This entails selecting the adsorption isotherms required for inclusion and then entering the range of adsorption quantities to be applied. These quantities should be common for each of the isotherms being used and are shown as the light blue lines in Figure 4. The upper limit (60 cm3/g) is dictated by the isotherm of lowest ultimate volume, in this case that at the highest analysis temperature 293 K. Conversely, the lower limit (3 cm3/g), shown inset, is dictated by the isotherm of highest initial quantity, in this case that at the lowest adsorption temperature, 268 K. These limits were entered to the “quantities” fields. A total of 100 linearly-spaced heat of adsorption data points was selected, represented by 100 linearly spaced adsorption volumes between the lower and upper limits. The isosteric heat of adsorption plots for the four carbons are shown in Figure 5 below.
All four carbons show a similar overall trend: initially a high heat of adsorption at the lowest coverage as the energetically more-favorable sites are preferentially occupied first by the adsorbate followed by a gradual reduction in the heat of adsorption as coverage increases. The sharpness of this reduction and the linearity of the plots with increasing coverage give a good indication of the homogeneity of adsorption sites in terms of their energy. In this respect, carbons A and B appear to be of greatest energetic homogeneity whereas carbon D, showing a clear inflection in the plot at 10 cm3/g, would appear to be the more heterogeneous.
As discussed above, the heat of adsorption plots are constructed over a range dictated by common adsorption quantities. The lowest quantities adsorbed correspond to absolute adsorption pressures close to the lowest measured (~ 10-4 mmHg), whereas the highest slightly exceed atmospheric pressure. The heat of adsorption plots for carbons A, B and D all extend to comparable adsorption quantities, 60 – 65 cm3/g which will relate reasonably well to the adsorption capacity under ambient conditions of temperature and pressure. However, it is immediately apparent that carbon C has a significantly lower adsorption capacity with only 45 cm3/g being adsorbed close to saturation.
It is important to note that interpretation of the N2 isotherms showed that carbons A and B were very similar in terms of their pore area and pore volume characteristics: high pore area contained almostexclusively within micro-pores. Furthermore, the micro-pore size distributions by non-local density functional theory (NLDFT) (not shown) are likewise very similar, both carbons having distributions of super-micropores in the range 0.35 – 0.72 nm and a further distribution of pores in the range 1 – 2.5 nm. Using these data alone would suggest that both equally represent good candidate materials for CO2 capture and retention given the assumed desirability of high surface area and pore volume. Further consideration of the heat of adsorption data necessitates a significant alteration to this conclusion though. Carbon B has a higher heat of CO2 adsorption throughout, ultimately being 1.5 kJ/mol in excess of carbon A close to saturation. From the isotherms themselves, an accurate CO2 adsorption quantity can be abstracted: at 293 K and 760 mmHg this is 56.0 cm3/g for carbon A and 67.0 cm3/g for carbon B. Therefore, carbon B would be expected to adsorb a higher quantity of CO2 more readily than carbon A and, importantly, retain it more effectively as greater energy would be required to enable undesirable desorption.



Carbon C has been characterized as having high BET surface area, the highest total pore volume of the four carbons and pore size distributions within both micropore and meso-pore ranges. It is, however, particularly unfavorable for CO2 capture due to its low heat of CO2 adsorption and low adsorption capacity: only 44.5 cm3/g being adsorbed at 293 K and 760 mmHg.
Of the four carbons considered here, energetically, carbon D appears to be the best candidate material for CO2 capture and retention. The heat of CO2 adsorption is the highest throughout, being 2 kJ/ mol higher than that of carbon B and 3.5 kJ/mol higher than carbons A and C towards saturation. Furthermore, the CO2 capacity is the highest of the four materials, being comparable to that of carbon B. Significantly, consideration of BET area and pore volume data alone would suggest carbon B to be a good candidate material for CO2 but probably the worst of the four considered here, hence BET surface area alone should not be considered a definitive indicator of CO2 capture and retention.